欢迎来到红宝电子!

久尹JOYIN压敏电阻JVR05N621K
品牌: 久尹JOYIN
型号:JVR05N621K
系列:JVR
工作温度范围:-40°C〜85°C
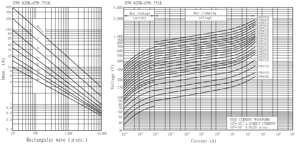
应用领域:金属氧化物压敏电阻(MOV或VDR)是电压依赖性电阻器,具有对称的电压-电流特性,旨在保护各种电子设备或元件免受开关脉冲或感应雷电浪涌的影响。它的非线性特性具有广泛的应用范围,从低到高的电压等级保护(AC11V-1000 V为可用范围),在各种级别的电气和电子设备中逐渐被采用,并具有批量生产的可行性。
产品详情



上一篇:JVR05N681K
下一篇:JVR05N561K
×
预约上门
请拨打销售热线 0531-8228 6666,或让我们联系您!
