欢迎来到红宝电子!

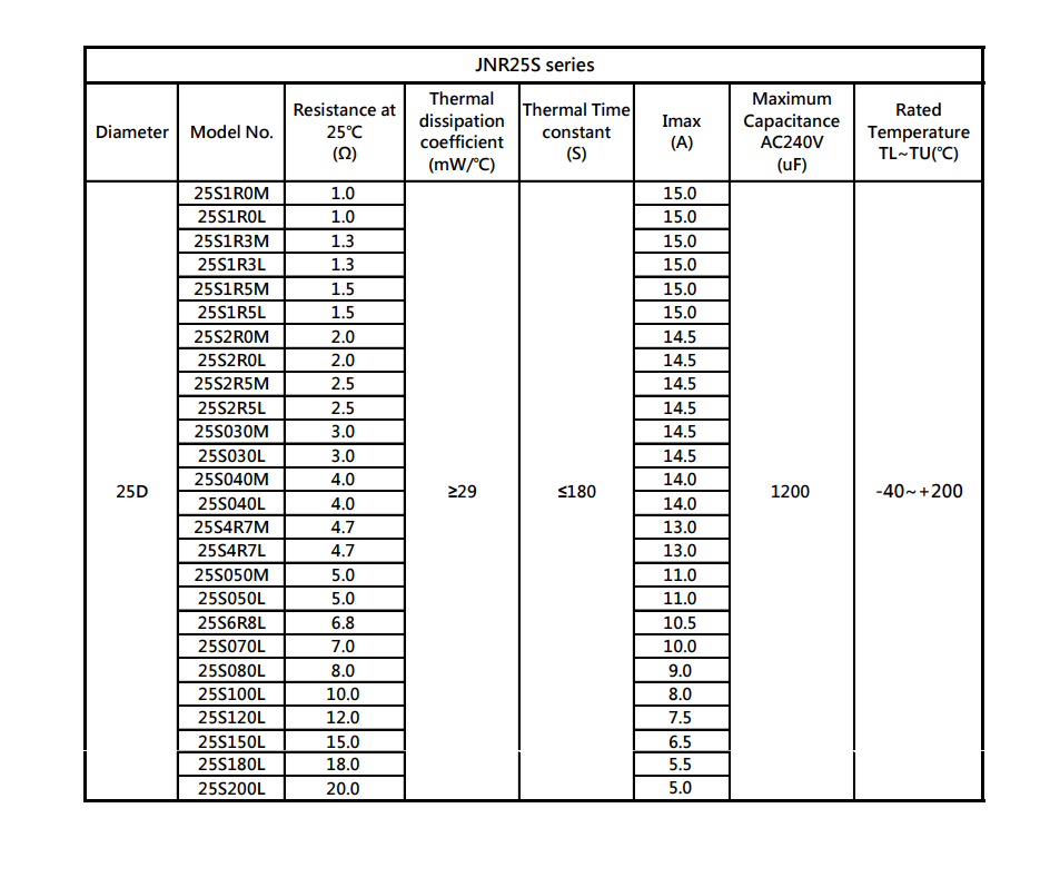
久尹NTC热敏电阻JNR25S series
品牌:久尹
型号:JNR25S series
系列:JNR系列
工作温度范围:-40℃~+200℃
应用领域:浪涌电流限制器具有较高的电阻,应将浪涌电流限制在 1~2 秒内,在此期间,器件的电阻基本上下降到其压降可以忽略不计的程度。这些器件特别适用于电源供应器,因为被充电电容器的阻抗极低,其中电桥通常在导通点承受极高的电流浪涌。
产品详情

上一篇:JNR20S series
下一篇:没有了
×
预约上门
请拨打销售热线 0531-8228 6666,或让我们联系您!
