欢迎来到红宝电子!

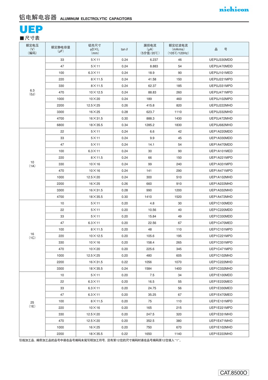
尼吉康nichicon小型铝电解电容器引线型UEP系列
品牌:尼吉康nichicon
型号:UEP
系列:UEP系列
工作温度范围:-55℃~+105℃
应用领域:广泛应用于汽车电子、变频器、数控伺服、通讯设备、数字家电等行业
产品详情



上一篇:UVP
下一篇:没有了
×
预约上门
请拨打销售热线 0531-8228 6666,或让我们联系您!
