欢迎来到红宝电子!

村田电感 一般电路用电感器 汽车用 Powertrain LQH32NH_23
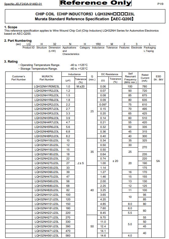
品牌:村田
型号:LQH32NH_23
系列:LQH32NH_23
工作温度范围:-40°C〜125°C
应用领域:本标准适用于基于AEC-Q 200的汽车电子用线绕片线圈(芯片电感)LQH32NH系列。
产品详情

上一篇:LQH43NH_03
下一篇:没有了
×
预约上门
请拨打销售热线 0531-8228 6666,或让我们联系您!
