欢迎来到红宝电子!

村田电感 近距离无线用电感器 NFC电感器LQW15C 系列 LQW15CN3R3M10#
品牌:村田
型号:LQW15CN3R3M10#
系列:LQW15CN3R3M10#
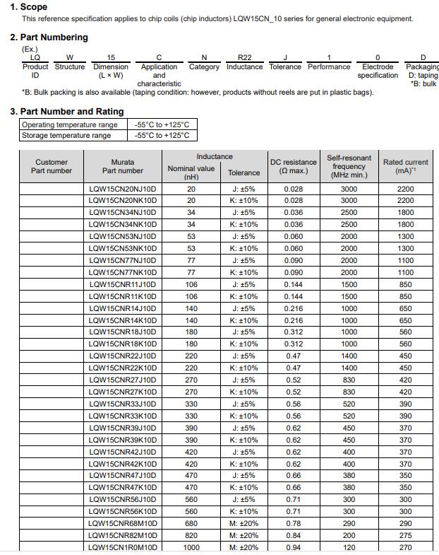
工作温度范围:-55℃ ~+125℃
应用领域:本标准适用于一般电子设备用的芯片线圈(芯片电感)LQW15CN_10系列。
产品详情


上一篇:LQW15CN48NJ00#
下一篇:LQW15CN34NK1Z#
×
预约上门
请拨打销售热线 0531-8228 6666,或让我们联系您!
